Skip to content Skip to sidebar Skip to footer

Widget HTML #1

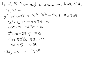
How To Find Consecutive Odd Integers : Since the question states 2 consecutive odd integers, we will call the second integer x + 2.

How To Find Consecutive Odd Integers : Since the question states 2 consecutive odd integers, we will call the second integer x + 2.. You may find it hard to believe, but just like even integers, a pair now that we know how to represent each consecutive odd integer, we simply have to translate three consecutive odd integers whose sum is {45} into. …that all consecutive odd integers and consecutive even integers are always two more than the previous number, as online math learning accurately states. How is the sum of two consecutive integers odd? The consecutive odd integers are 15, 17 and 19. Consecutive integers could be thought of as counting numbers in a row.

I need to find consecutive segments that are odd or even. Consecutive odd integers are odd integers that follow each other in sequence. Find three consecutive odd integers such that the sum of twice the first and three times the second is 67 more than twice the third. How is the sum of two consecutive integers odd? The concept of consecutive numbers may seem straightforward, but if you search the internet, you'll find slightly differing views about what this.

The Sum Of Three Consecutive Odd Numbers Are 51 Find The Number And Express In Equation Maths Simple Equations 12950277 Meritnation Com
The Sum Of Three Consecutive Odd Numbers Are 51 Find The Number And Express In Equation Maths Simple Equations 12950277 Meritnation Com from s3mn.mnimgs.com
I go through 4 examples of finding consecutive integers, consecutive odd integers, & consecutive even integers that add up to a given number. Thus, we can let x + 2 represent the second integer, x + 4 represent the third, and x + 6. Remember, to find the series of consecutive odd numbers that add up to 68, use the formula n + n + 2 = 68. How many digits at the maximum count can a set of consecutive integers have? One of them is lowest and the next one will be one more than that, and the last one will be one there are no two consecutive even integers, consecutive odd integers, or consecutive integers that satisfy that relationship. Since the question states 2 consecutive odd integers, we will call the second integer x + 2. The problem i have is how to perform the calculations and then how to display them correctly with println. If you want to find three consecutive odd integers to satisfy some property then you can substitute these expressions into the condition and solve for #k#.

Find three consecutive odd integers so that the sum.

…that all consecutive odd integers and consecutive even integers are always two more than the previous number, as online math learning accurately states. Need some help figuring out the sum of a string of consecutive odd integers? Learn about the types of consecutive numbers, such as consecutive odd or even numbers, or numbers that increase by multiples of three (3, 6, 9, 12). Consecutive odd integer problems (solutions, examples, videos). Balance the equation until you isolate the value of n. Simply put, if you select any odd integer from a set of consecutive odd integers. Remember, to find the series of consecutive odd numbers that add up to 68, use the formula n + n + 2 = 68. Find integers that are consecutive, consecutive even, or consecutive odd this video goes through examples education. How to find consecutive integers? How can you find consecutive odd numbers. What does that imply about $p$? Can you then find $n_1,n_2,n_3$? The second set of consecutive integers is found by subtracting 1 from 0.you can represent the second consecutive odd integers are the set of integers such that each integer in the set differs from the 6.

In a set of consecutive numbers, the mean and the median are equal. The sum of $3$ consecutive odd integers is always a multiple of $3$. Find three consecutive odd integers such that the sum of twice the first and three times the second is 67 more than twice the third. I need to find consecutive segments that are odd or even. You then add exactly 2 to it.

The Sum Of The Squares Of Two Consecutive Odd Numbers Is 394 Find The Numbers Sarthaks Econnect Largest Online Education Community
The Sum Of The Squares Of Two Consecutive Odd Numbers Is 394 Find The Numbers Sarthaks Econnect Largest Online Education Community from www.sarthaks.com
If n is a number, then the next numbers will be n+1 and n+2. How to find consecutive integers? Thus, we can let x + 2 represent the second integer, x + 4 represent the third, and x + 6. If you need to know how to model the second and the fourth with an expression, study this lesson How can you find consecutive odd numbers. You can also represent the third set with this expression: Find integers that are consecutive, consecutive even, or consecutive odd this video goes through examples education. I go through 4 examples of finding consecutive integers, consecutive odd integers, & consecutive even integers that add up to a given number.

If n is a number, then the next numbers will be n+1 and n+2.

2 6 5 = 2 and 6 = 2 consecutive even integers | 1 odd 4 6 8 1 3 = 4, 6. I go through 4 examples of finding consecutive integers, consecutive odd integers, & consecutive even integers that add up to a given number. Solve it for the variable x. Consecutive odd numbers are any two odd numbers with only one even number between them. Consecutive odd integers are odd integers that follow each other in sequence. Consecutive integers could be thought of as counting numbers in a row. This is your first odd integer. Therefore, the trinomial factors into. Can you then find $n_1,n_2,n_3$? The trick to solving these types of word problems is to know how to represent odd or even consecutive numbers in symbol form. You may find it hard to believe, but just like even integers, a pair of any consecutive odd integers are also 2 2 units apart. We are told that the integers are consecutive odd integers. Note how for an arbitrary integer x, its consecutive numbers take the form x + 1, x + 2, x + 3, and so on.

Solve it for the variable x. You start with any odd integer. How can you find consecutive odd numbers. Find three consecutive odd integers such that the sum of twice the first and three times the second is 67 more than twice the third. Thus, we can let x + 2 represent the second integer, x + 4 represent the third, and x + 6.

Example 11 Find Two Consecutive Odd Positive Integers Examples
Example 11 Find Two Consecutive Odd Positive Integers Examples from d1avenlh0i1xmr.cloudfront.net
The phrase consecutive odd integers doesn't automatically mean consecutive increasing (although by. This is your first odd integer. You may find it hard to believe, but just like even integers, a pair of any consecutive odd integers are also 2 2 units apart. Asked oct 24, 2019 by anonymous | 852 views. Consecutive odd integer problems (solutions, examples, videos). Can you then find $n_1,n_2,n_3$? For comparison, let's now try to find two consecutive odd integers whose product equals 63. Thought to put together all formulas at one place:

How is the sum of two consecutive integers odd?

Consecutive odd integers are odd integers that follow each other in sequence. Consecutive odd numbers are any two odd numbers with only one even number between them. Again, we begin by how we can make the consecutive integers calculator do the dirty work. Consecutive odd integers are odd integers that follow each other in sequence. You start with any odd integer. Any help would be greatly appreciated. Learn about the types of consecutive numbers, such as consecutive odd or even numbers, or numbers that increase by multiples of three (3, 6, 9, 12). But, you can't use the formula: Note how for an arbitrary integer x, its consecutive numbers take the form x + 1, x + 2, x + 3, and so on. You may find it hard to believe, but just like even integers, a pair now that we know how to represent each consecutive odd integer, we simply have to translate three consecutive odd integers whose sum is {45} into. Note:$\;$the wording of the problem is a little sneaky. See how it's done with this free video math lesson. Need some help figuring out the sum of a string of consecutive odd integers?

Find three consecutive odd integers so that the sum how to find consecutive integers. How is the sum of two consecutive integers odd?